電磁學線上學習平台

  • 影音課程
    • 史密斯圖
    • 平面波
    • 向量分析
    • 波導
    • 時域傳輸線
    • 麥斯威爾方程式
    • 靜電學
    • 靜磁學
    • 頻域傳輸線
  • 測驗練習
    • 1.Vectors and Fields
    • 2.Maxwell's Equations in Integral Form
    • 3.Maxwell's Equations in Differential Form, and Uniform Plane Waves in Free Space
    • 4.Fields and Waves in Material Media
    • 5.Electromagnetic Potentials_Topics for Circuits_Sysyems
    • 6.Transmission-Line Essentials
    • 7.Transmission Lines for Communication
    • 8.Guided Wave Principles for Electronics
    • 9.Wave Guides_Resonators
    • 10.Radiation_Antennas
    • 設計型題組
    • [salmooc.com] Transmission-Line
  • 科普影片
  • 互動式電磁動畫
  • 電磁學小考平台

4. Fields and Waves in Material Media

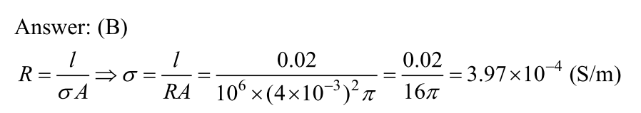
4-1. Conductors and Semiconductors

  1. exam 1 (answer)
  2. exam 2 (answer)
  3. exam 3 (answer)
  4. exam 4 (answer)
  5. exam 5 (answer)

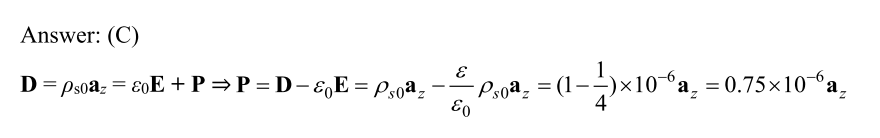
4-2. Dielectrics

  1. exam 1 (answer)
  2. exam 2 (answer)
  3. exam 3 (answer)
  4. exam 4 (answer)
  5. exam 5 (answer)

4-3. Magnetic Materials

  1. exam 1 (answer)
  2. exam 2 (answer)
  3. exam 3 (answer)
  4. exam 4 (answer)

4-4. Wave Equation and Solution for Material Medium

  1. exam 1 (answer)
  2. exam 2 (answer)
  3. exam 3 (answer)
  4. exam 4 (answer)
  5. exam 5 (answer)
  6. exam 6 (answer)
  7. exam 7 (answer)
  8. exam 8 (answer)
  9. exam 9 (answer)
  10. exam 10 (answer)
  11. exam 11 (answer)

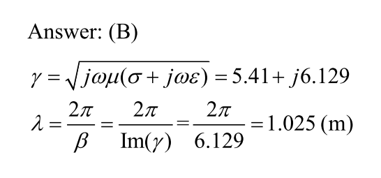
4-5. Uniform Plane Waves in Dielectrics and Conductors

  1. exam 1 (answer)
  2. exam 2 (answer)
  3. exam 3 (answer)
  4. exam 4 (answer)
  5. exam 5 (answer)
  6. exam 6 (answer)
  7. exam 7 (answer)
  8. exam 8 (answer)

4-6. Boundary Conditions

  1. exam 1 (answer)
  2. exam 2 (answer)
  3. exam 3 (answer)
  4. exam 4 (answer)
  5. exam 5 (answer)
  6. exam 6 (answer)

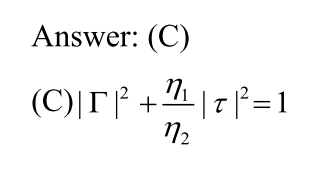
4-7. Reflection and Transmission of Uniform Plane Waves

  1. exam 1 (answer)
  2. exam 2 (answer)
  3. exam 3 (answer)
  4. exam 4 (answer)
  5. exam 5 (answer)
  6. exam 6 (answer)
  7. exam 7 (answer)
  8. exam 8 (answer)
  9. exam 9 (answer)
  10. exam 10 (answer)

教育部107年度、108年度、109年度高教深耕-教學創新推動計畫
Microwaves/EM educational CAD Platform Improvement for IEEE MTT-S
教育部104年度、105年度「加速行動寬頻服務及產業發展計畫」電磁教育跨校聯盟計畫
教育部101年度、102年度「網路通訊人才培育先導型計畫」電磁教學推動聯盟中心

主持人群:
吳瑞北教授、吳宗霖教授、馬自莊教授、蔡作敏教授、龎一心教授
※依姓名筆畫排序
題庫建置群:
王登胤、吳亭儀、李柏叡、李章誠、林韋辰、 林庭揚、曾竪元、温盛文、黃雋宇

© 2019 國立台灣大學